2015年,新余市整合市级食品药品检验检测机构,组建综合检验检测中心。整合后,实验室引入许多大型精密分析仪器。由于实验室是经办公室改建而成的,没有正确接地,导致仪器时常出现不稳定现象,造成检测数据缺乏准确和可靠性,仪器未能发挥出应有的作用。
精密分析仪器的安装说明书都特别强调仪器需要有良好的接地,地线与大地有良好的连接,接地电阻在4Ω以下。正确的接地,不仅能起到保护操作者及设备安全的作用,而且可以屏蔽外界电磁场对仪器的干扰,稳定仪器电气零点。
我们的食品药品检验实验室位于本单位办公大楼的(3~5)层,拥有36个实验室。大楼是一幢长54m、宽27m的11层建筑,为钢筋混凝土框架结构,楼顶安装了避雷带,属二类防雷建筑。建造时,利用混凝土框架的内部主钢筋立柱,建立了以此为主的自然接地体装置。各办公室的接地均引自该大楼框架立柱钢筋连成的接地装置。
在实验室装修之前,我们对大楼(3~5)层楼房的各楼层配电箱接地母线的接地电阻进行了测量,结果都大于4Ω,而分析仪器接地电阻要求小于2Ω,显然不符合要求。经过排查,初步判断是大楼施工不良造成的。大楼接地采用框架立柱与横梁钢筋形成鼠笼状的框架自然接地体,各连接体没有很好地实施焊接,或者只是简单地用铁扎丝绑扎好,随即浇筑混凝土,混凝土中的水分导致主钢筋与辅助钢筋,以及框架立柱与框架横梁中的钢筋之间电气连接点的锈蚀,最终导致接地电阻不合格。
食品药品检验实验室精密仪器接地电阻的要求为不大于2Ω。大楼后方有一长方形绿化带,长54m,宽24m,土壤土质为红、白岩石粉,电阻率在(100~300)Ω·m之间。依照现有的条件,我们采纳某公司的接地实施方案。
1.对(3~5)层楼层重新敷设单独的电缆,配电房建立独立的配电柜,(3~5)层楼层用电建立独立接地系统。办公用电和实验用电分离,有效保障电源稳定。建立独立接地系统来承担实验室仪器功能性接地。大楼初建时框架自然接地体,依旧承担着大楼的安全保护接地,可防电击、防雷击等,以及其他楼层的功能性接地。
2.建立新型独立接地系统。依照现有的条件和要求,经过论证,我们采用一种新型接地装置,即电解离子接地系统。电解离子接地系统具有降阻效果明显,施工方便,占地面积小,使用寿命长等优点。电解离子接地极(棒)是通过电极内部和外部填充材料的离子释放效应,改善电极与周边土壤的接触环境,达到降阻的目的。管内填充高碳离子化合物晶体,外表采用纯紫铜材料,以确保导电性能及较长使用寿命。导体内部填充材料含有特制的电离子化合物。电解离子接地极在各项接地性能和适应性方面具有明显优势,已广泛应用于电力、铁路、石油化工、通信基站等接地领域。
在设计接地系统之前,我们先测试了该地块的土壤电阻率。在地面上打入一根Φ50mm、3m长的镀锌钢管,用接地电阻测试仪测得接地电阻值为67.3Ω。根据垂直接地的简易计算法推算出其土壤电阻率为ρ≈67.3/0.3=224Ω·m。综合考虑现有条件,该公司的接地实施方案,为采取在绿化带内敷设水平接地网,水平网四周安装电解离子接地极,离子接地极配合降阻剂的方法的接地方案。
在绿化带内敷设水平接地网,水平接地网的外缘应闭合。水平接地网使用50mm×5mm紫铜排,总长度82m,结构为24m×12 m矩形地网,埋深0.8m。在水平网四周安装20根Φ50mm、3m离子接地极,每隔(5~6)米布置1根,离子接地极由水平地网紫铜排连接形成闭合环。紫铜排与离子接地极之间的连接均采用放热焊接。离子接地极安装于口径Φ150mm、3.5m竖井内,竖井内同时填充降阻剂,用于降低接地电阻及消散泄漏电流。每米25kg,需降阻剂4000kg。
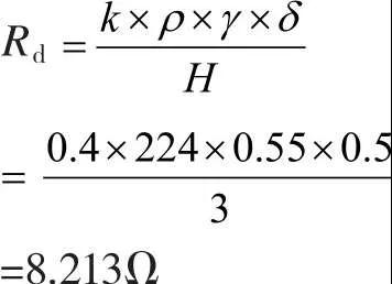
根据生产厂家提供的数据,离子接地极选用Φ50mm、3m规格,结合相关的经验公式进行估算,我们选择铜离子接地极(棒)的数量为20根。该计算公式为

式中:Rd——电解离子接地系统的接地电阻;k——电解离子接地系统效率,为0.4;ρ——土壤电阻率(Ω·m);γ——降阻回填降阻率,为0.55;δ——电解离子接地系统的初始离子扩散半径,为0.5m;H——电解离子接地系统的长度,为3m。

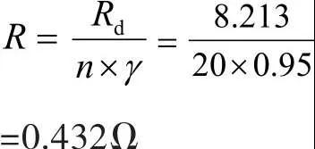
式中:Rd——一组离子接地系统的使用效果;R——n组离子接地系统使用后的效果;n——使用离子接地系统的组数;γ——利用系数,γ为0.95。
经计算,该接地设计方案的接地电阻R为0.432Ω,符合设计要求R≤2Ω的要求。
在绿化带中心地带,规划出结构为(24×12)m矩形地带,使用挖掘工具沿着矩形地带边缘挖出1m宽、0.8m深的沟槽。用钻孔机在沟槽的四个角上钻出孔径为Φ150mm×3.5m的竖井,然后依次在沟槽上钻出其他16个同样的竖井,每个相邻的竖井距离为(5~6)m。竖井施工完成后,剥开接地极两端密封电极的胶带,上端为水分吸收孔胶带,下端为离子棒释放孔胶带。接地极放入竖井内。将外部填充材料与水按照比例1∶1进行混合,搅拌均匀至糊状,先填充竖井0.5m,再灌注到接地极周围至低于接地极顶端50mm处。为避免空气留在竖井中影响填充材料与电极的紧密接触,用长竹竿插入孔洞中并上下晃动,让空气冒出来,同时保证接地极垂直于竖井中和处在填充材料中心部位。把紫铜排水平敷设在沟槽中,铜排弯曲(厚度方向弯曲)时其内半径不小于15mm。
为保证接地网形成连通回路,紫铜排和铜绞线采用放热焊接法连接,连接处需要可靠焊接,做到牢固、无虚焊、脱焊、漏焊。放热焊接后生成的焊接点,接点内部应无气孔和瑕疵,熔接头生成物必须为铜合金,其载流能力、耐高温能力、耐腐蚀能力与紫铜排相同。
在接地网的西北角引出接地引出线,挖出1m宽、0.8m深的沟槽,直线连接至地下配电室。紫铜排放热焊接在西北角的离子接地极上,另一端连接至地下配电室的(3~5)层楼房建立的独立接地系统母线上。
整个敷设和连接工作结束后,检查连线的可靠性,确认无误后,用回填土填盖至与地面齐平,回填土采用土壤电阻率不大于30Ω·m的黏土,并在填盖过程中分层夯实,回填土中不能夹带石块、木棍、塑料等。接地系统完成3天后初测接地电阻,实测结果为0.723Ω,符合分析仪器接地电阻要求小于2Ω的要求。
经过近半年的运行,实验室各大型分析仪器设备都能正常、安全地在工作范围内工作,说明接地系统的安装是成功的,也证明接地系统的安装是非常有必要的。
链接:
本文刊发于《华体会体育中国首页 》杂志2018年第11期
作者:江西省新余市综合检验检测中心 裘新力 习春红
内容推荐
更多>2019-01-29